关联图法:
1.定义:
就是把关系复杂而相互纠缠的问题及其因素,用箭头连接起来的一种图示分析工具,从而找出主要因素和项目的方法。
60年代由日本应庆大学的千住镇雄教授开发出来的,正式的全名叫做《管理指标间的关联分析》。
2.适用范围:
a.用于纷繁复杂的因果纠缠分析
b.用于现场问题的掌握
c.用于市场调查及抱怨分析
d.用于方针管理的展开
3.应用最佳时机:
当问题发生时,个人力量有限,因此“关联图”需要藉由许多专业的干部或有共同关系者共同合作,以广泛、深入且有效的共同讨论模式,寻求问题的解决之道。使用「关联图」拥有自由表达的特点,再加上没有图形制作上的限制,因此开放思考的转变及应用对策的展开都变得很容易,可加速对品质管理上的改善活动运作。
a.影响事件的因素众多,且各因素间相互关连性大时。
b.欲深入探讨该问题事件。
c.想要使各关系与要因间逻辑明确。
d.想要掌握问题的来龙去脉。
4.关联图的特点:
a.适合整理原因非常复杂的问题;
b.容易取得成员的一致意见;
c.从计划阶段一开始就可以广阔的视野透视问题;
d.形式自由,有助于因素之间的连接和转换;
e.可打破先入为主的观念;
5.关联图类型:
a.多目的型 (两个以上目的)
b.单目的型 (单一目的)
c.中央集中型(向外扩散)
d.单向汇集型(单向顺延)
6.关联图做法:
a.决定题目—以标记写出主题;
b.小组组成—集合有关部门人员组成小组;
c.资料收集—运用脑力激荡,寻找原因;
d.用简明通俗的语言作卡片;
e.连接因果关系制作关联图;
f.修正图形—讨论不足,修改箭头;
g.找出重要项目、原因并以标记区别;
h.形成文章—整理成文章使别人易懂;
i.提出改善对策。
7.制作关联图步骤:
a.制作原因、问题卡片
b.排列卡片:依因果关系排列
c.决定一次原因:将问题点与原因有直接关系的用箭头连接,因指向果
d.将所有的卡片用箭头连接,形成关联图
e.看关联图,明确因果关系的合理性
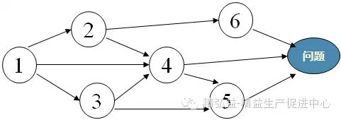
8.判别方法:
a.箭头只进不出是问题;
b.箭头只出不进是主因;
c.箭头有进有出是中间因素;
d.出多于进的中间因素是关键中间因素;
9.注意事项:
a.要针对复杂的因果关系;
b.原因查找从人、机、料、法、环、测等方面考虑;
c.针对找到的原因排序时适当调换位置;
d.中间关键因素也要作为主因对待;
10.案例:
某车间照明耗电量大,QCC小组针对此情况运用关联图 进行原因分析。
---------------------------------------------------------
阅读完此文章您有什么想法?问题?疑问?建议?意见?想和一起阅读此文的其他益友互动交流?想和我们的精益咨询专家探讨?
您可以1.【直接回复我们】
2.加【互动Q群】
3.到【微社区】
三个方式参与互动
---------------------------------------------------------
如果您觉得有用,请分享给您的朋友和同事,您的支持是我们努力的动力!!!
----------------------------------------------------------








